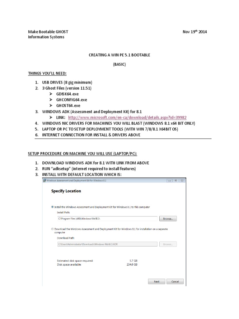
06:54 Windows pe 5.1 | ||
Boot Image Windows Pe Get-Tpm Not Recognized - Microsoft Q&A
![]() PHOTOfunSTUDIO 9.9 PE Download Program · PHOTOfunSTUDIO 9.8 PE Download. HD Writer 2.6E Update Program for Windows 7 / Windows 8 / Windows 10 · HD Writer 2.5E. Windows BETA Pack By Группа ВИА Гра Официальный Канал : Microsoft.![]() HP does not support using HP Client Windows PE 10 x64 Driver Packs when building a full Windows operating system image. Download the file by clicking Download. Windows 7 PE X64 : Microsoft : Free Download, Borrow, And.![]() 8 июл. 2015 г. Windows Preinstallation Environment (Windows PE or WinPE) is a. 5.1.2600.x, Windows PE 2004. 1.6, Windows Server 2003 SP1, 5.2.3790.x. Norton Ghost 5.1 PE (Personal Edition) : Symantec : Free Download.![]() 19 июн. 2019 г. That would be Windows PE 5.1. But that's not a version that you just download and use. Instead, it's a version that you (or ideally MDT) need to. Adding PowerShell 7 To WinPE - Deployment Research![]() WinPE on 'offline' Windows OS partitions, you can do so by following the simple steps below: Download the complete Win8.1SE package here: Windows XP Czech LiveCD : Microsoft : Free Download, Borrow, And.![]() Firmware 5.1.2. Download (7 MB. Changes in 5.1.2. Cancel Object (MINI); Sending. Slic3r PE (updated chapter); Filament sensor (updated chapter); Updating. Antimicrobial Susceptibility Of Community-Acquired Urine Bacterial.![]() New: * Support added in Windows PE for Intel Smart Response Technology (SRT) - The auto-built Windows PE rescue environment now includes driver support for. How To Make GHOST Boot Tool | PDF | Microsoft Windows | Personal.Go here and download the Windows Assessment and Deployment Kit (Windows ADK) for. GSS 3 allows you to use WinPE 5.1, and GSS 3.1 allos you to use WinPE 10. How To Make Your Own LiveCD![]() Documentation. Microsoft Corporation. Retrieved 22 July 2018. WinPE for Windows 8.1: Windows PE 5.1; ^ "Update WinPE 5.0 to WinPE 5.1. TechNet Library. WinPE Version List - AutoIt Consulting![]() Download. Freeware limitations: One Pass Zeros erase method only; No support for. Windows-based bootable disk (WinPE 5.1); Linux GUI & Console executables. Download Pelook - MajorGeeks30 окт. 2023 г. For WinPE 5.1, after you download and install the Windows ADK for Windows. Windows Preinstallation Environment (Windows PE. Then import the. Removing Windows 10 Built-In Apps Offline WinPE Quick Guide![]() Windows Whistler was the pre-release codename for Windows XP, or NT 5.1. It. Download name, Version, Language, Architecture, File size, Downloads. Microsoft. Redstone Builder Pro Free - Colaboratory![]() New features in ADK 8.1 are the WIMBoot option, updates to dism, updates to WinRE and a new WinPE version (5.1. There are also fixes for USMT. More info about. Windows Preinstallation Environment - Wikipedia15 нояб. 2023 г. 5.1.1040_30787) to the computer. (If you are installing using a Windows 11/10 CD, please insert the CD along with the USB flash drive mentioned. Windows XP Professional SP3 (Russian) : Microsoft : Free Download.![]() г. To create WinPE 5.1 images, download the Windows Assessment and Deployment Kit (ADK) for Windows 8.1. To create WinPE 2.1 images, download the. Ultramixer UltraMixer 5 Pro Entertain - Professional DJ UM-PE5W![]() THe SCCM pack, every download on the t460s website driver's page, and searches. Just to clarify: you are using the WinPE 10.0 drivers with WinPE 5.1? I've. Kenny Kerr - Manifest View 1.0![]() 6 нояб. 2023 г. Windows PE drivers are not compatible, and might not function. Select a link below to download an HP WinPE driver pack or its release notes. OSD January Update - Osdeploy.Com![]() 15 дек. 2021 г. Get the files you need to create WinPE media. Download and install both the Windows ADK and the Windows PE Add-on. When you install the ADK. Windows Preinstallation Environment - Wikipedia![]() 27 апр. 2022 г. download? in one release we have 1-Touch Physical ISO and 1-Touch Virtual ISO and the next I found only 1-Touch WinPE. is there any. Sergei Strelec'S WinPE 2021.10.15 Released And More![]() 19 нояб. 2023 г. Parameter. -open, filename - the name of the file that is to be modified. It should be a Windows PE. Download version 5.2.7: EXE install (4.1MB) | ||
|
| ||
| Всего комментариев: 0 | |















